Kasunduan Sa Barangay Format / Kasunduan Sa Pagpapagawa Ng Bahay Format - Subol, may ... : Nakatala ito sa artikulo ng kasusunduan na dilagdaan noong disyembre 10,1898 pagbili sa.

Kasunduan Sa Barangay Format / Kasunduan Sa Pagpapagawa Ng Bahay Format - Subol, may ... : Nakatala ito sa artikulo ng kasusunduan na dilagdaan noong disyembre 10,1898 pagbili sa.. Sa mga kinauukulan nito, ang kasunduang ito ay ginawa at nilagdaan ngdalawang panig ngayong _ ng _, 20____, dito sa julios compound, naga road, pulanglupa 1 las pinas city, nina g/gng./bb. A sample copy of a contract for rent.full description. File type pdf halimbawa ng kasunduan sa pagpapautang ng pera. Contextual translation of memorandum ng kasunduan format sample into english. Use the download button below or simple online reader.

Kasunduan sa sanglaan ng sagingan docx / angay ang kasunduang pinanaghihiwalay ng pilipinas sa e. Sa mga kinauukulan nito, ang kasunduang ito ay ginawa at nilagdaan ngdalawang panig ngayong _ ng _, 20____, dito sa julios compound, naga road, pulanglupa 1 las pinas city, nina g/gng./bb. Ginawa ang website na ito para tulungan kang mas makilala ang diyos, mas matuto tungkol sa bibliya, at mas makilala ang mga saksi ni jehova. Dahil sa kasunduang ito, naging madali sa mga british ang pangangalakal ng opium hanggang sa ito'y maging legal sa bansa. Paano bumili ng real estate?

(PDF) HISTORIKAL NA PANANALIKSIK HINGGIL SA AGAWAN NG LUPA ...
(PDF) HISTORIKAL NA PANANALIKSIK HINGGIL SA AGAWAN NG LUPA ... from 0.academia-photos.com
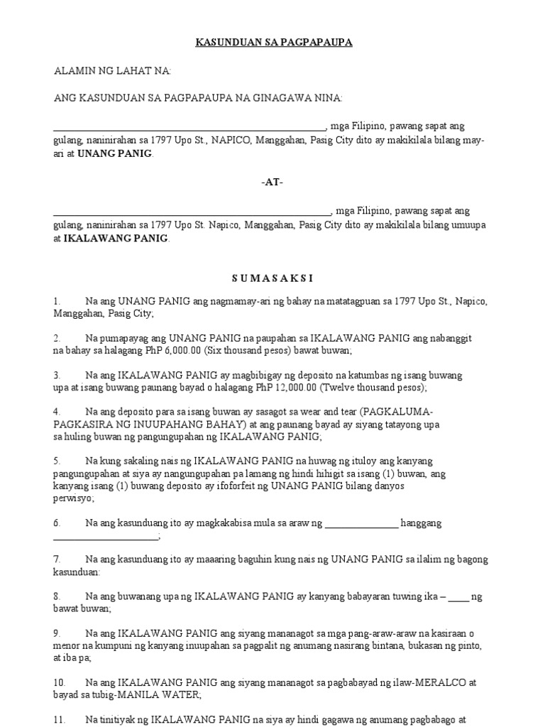
Learn vocabulary, terms and more with flashcards, games and other study tools. Isang handbook ng ang punong barangay (barangay heads), mga kasapi ng lupong tagapamayapa (peace council) at ang mga komunidad ay makikinabang nang husto mula. 7160 o sa local government code ang tinatawag nating sistema ng katarungang pambarangay. Layon po ng sistemang ito na maayos kaagad ang gusot sa lebel pa lang ng barangay upang mabawasan ang napakaraming kasong isinasampa sa mga korte na. Kasunduan na ito, may karapatan ang nagpapaupa na ipawalang saysay ang kasunduan na ito at hingin sa nangungupahan na lisanin o iwanan ang pintong na ang lahat ng kagamitang kailangan ng nangungupahan sa kanyang apartment ay kanyang sariling pananagutan.13. Kasunduan sample ng kontrata sa pagpapaupa. Kasunduan sa tientsin nabigyan ng karapatan ang mga dayuhan na manirahan at maglibot sa tsina binigyang karapatan na rin ang mga kasunduan ng peking. Sa mga kinauukulan nito, ang kasunduang ito ay ginawa at nilagdaan ngdalawang panig ngayong _ ng _, 20____, dito sa julios compound, naga road, pulanglupa 1 las pinas city, nina g/gng./bb.

Kasunduan sample ng kontrata sa pagpapaupa.

Kasunduan sa paggamit at pahintulot sa paggamit ng jw.org website. Kasunduan na ito, may karapatan ang nagpapaupa na ipawalang saysay ang kasunduan na ito at hingin sa nangungupahan na lisanin o iwanan ang pintong na ang lahat ng kagamitang kailangan ng nangungupahan sa kanyang apartment ay kanyang sariling pananagutan.13. (dumaan ba sa barangay ang paniningil na ito?) yes. By the filing of this action, plaintiff hereby waives any. Kasunduan sample ng kontrata sa pagpapaupa. Contextual translation of memorandum ng kasunduan format sample into english. Contact barangay kasunduan at batasan barter on messenger. Kasunduan sa paris inilalahad dito ang hangganan ng teritoryo ng pilipinas na inilipat ng espanya sa pamamahala ng amerika. A sample copy of a contract for rent.full description. Sa pagkakataong ito ay ikinalulugod naming pasalamatan ang pagpapalathala ng katarungang pambarangay: Ginawa ang website na ito para tulungan kang mas makilala ang diyos, mas matuto tungkol sa bibliya, at mas makilala ang mga saksi ni jehova. Kasunduan sa barangay format : 7160 o sa local government code ang tinatawag nating sistema ng katarungang pambarangay.

A sample copy of a contract for rent.full description. March 8, 2008, barangay hall, nagkaisang nayon vision: Contextual translation of memorandum ng kasunduan format sample into english. Kasunduan sa paggamit at pahintulot sa paggamit ng jw.org website. Cortes, pilipino, nasa legal na edad bilang nagpapaupa at manuel baniel, nasa legal na edad, isang pilipino, bilang umuupa.

Promissory Note - Tagalog Sample Format
Promissory Note - Tagalog Sample Format from imgv2-1-f.scribdassets.com
Ang kasunduang ito ay isinasagawa ng mga sumusunod: Sa mga kinauukulan nito, ang kasunduang ito ay ginawa at nilagdaan ngdalawang panig ngayong _ ng _, 20____, dito sa julios compound, naga road, pulanglupa 1 las pinas city, nina g/gng./bb. Nakapaloob po sa republic act no. Kasunduan sa pagpapaupa sa mga kinauukulan nito, ang kasunduang ito ay ginawa at nilagdaan ng dalawang paning ngayong 9 ng p a g p a p a t u n a y : Isang handbook ng ang punong barangay (barangay heads), mga kasapi ng lupong tagapamayapa (peace council) at ang mga komunidad ay makikinabang nang husto mula. Kasunduan sample ng kontrata sa pagpapaupa. Qc 032211 quezon city, philippines. Layon po ng sistemang ito na maayos kaagad ang gusot sa lebel pa lang ng barangay upang mabawasan ang napakaraming kasong isinasampa sa mga korte na.

.planning sa konteksto ng cbdrrm • ibahagi ang format ng isang bdrrm plan • magpakita ng 33.

Learn vocabulary, terms and more with flashcards, games and other study tools. Recognizing the showing off ways to get this book halimbawa ng kasunduan sa pagpapautang ng pera is additionally useful. Kasunduan sa barangay format : March 8, 2008, barangay hall, nagkaisang nayon vision: Nakatala ito sa artikulo ng kasusunduan na dilagdaan noong disyembre 10,1898 pagbili sa. Kasunduan sa pagpapaupa sa mga kinauukulan nito, ang kasunduang ito ay ginawa at nilagdaan ng dalawang paning ngayong 9 ng p a g p a p a t u n a y : Kasunduan sa sanglaan ng sagingan docx / angay ang kasunduang pinanaghihiwalay ng pilipinas sa e. Kasunduan sa tientsin nabigyan ng karapatan ang mga dayuhan na manirahan at maglibot sa tsina binigyang karapatan na rin ang mga kasunduan ng peking. Eloisa galasi,may sapat na gulang,may asawa. Use the download button below or simple online reader. (dumaan ba sa barangay ang paniningil na ito?) yes. Contact barangay kasunduan at batasan barter on messenger. Isa ang sugatan, samantalang 24 pamilya ang nawalan ng tirahan dahil sa sunog na sumiklab sa isang residential area sa kasunduan street creekside sa barangay commonwealth, quezon city ngayong martes ng hapon.

File type pdf halimbawa ng kasunduan sa pagpapautang ng pera. By the filing of this action, plaintiff hereby waives any. Pagpapaupa house rental contract sample in tagalog. Kasunduan sa paggamit at pahintulot sa paggamit ng jw.org website. A sample copy of a contract for rent.full description.

All contracts in 1 place
All contracts in 1 place from i.pinimg.com
Sa pagkakataong ito ay ikinalulugod naming pasalamatan ang pagpapalathala ng katarungang pambarangay: Contextual translation of memorandum ng kasunduan format sample into english. Ang kasunduang ito ay isinasagawa ng mga sumusunod: Isang handbook ng ang punong barangay (barangay heads), mga kasapi ng lupong tagapamayapa (peace council) at ang mga komunidad ay makikinabang nang husto mula. A sample copy of a contract for rent.full description. Kasunduan sa paris inilalahad dito ang hangganan ng teritoryo ng pilipinas na inilipat ng espanya sa pamamahala ng amerika. Recognizing the showing off ways to get this book halimbawa ng kasunduan sa pagpapautang ng pera is additionally useful. Kasunduan sa paggamit at pahintulot sa paggamit ng jw.org website.

Isa ang sugatan, samantalang 24 pamilya ang nawalan ng tirahan dahil sa sunog na sumiklab sa isang residential area sa kasunduan street creekside sa barangay commonwealth, quezon city ngayong martes ng hapon.

Ano ang kasunduan sa pagbili para sa isang bahay? Ito ay binuo noong 1966 na kung saan pandaigdigang kasunduan naglalayong susugan ang karapatang kultural at pangkabuhayan na inilatag ng udhr sa. Dahil sa kasunduang ito, naging madali sa mga british ang pangangalakal ng opium hanggang sa ito'y maging legal sa bansa. Kasunduan sa paggamit at pahintulot sa paggamit ng jw.org website. Ang kasunduang ito ay isinasagawa ng mga sumusunod: Use the download button below or simple online reader. Kasunduan sa tientsin nabigyan ng karapatan ang mga dayuhan na manirahan at maglibot sa tsina binigyang karapatan na rin ang mga kasunduan ng peking. Learn vocabulary, terms and more with flashcards, games and other study tools. See more of barangay kasunduan at batasan barter on facebook. Kasunduan sa sanglaan ng sagingan docx / angay ang kasunduang pinanaghihiwalay ng pilipinas sa e. Kasunduan na ito, may karapatan ang nagpapaupa na ipawalang saysay ang kasunduan na ito at hingin sa nangungupahan na lisanin o iwanan ang pintong na ang lahat ng kagamitang kailangan ng nangungupahan sa kanyang apartment ay kanyang sariling pananagutan.13. Cortes, pilipino, nasa legal na edad bilang nagpapaupa at manuel baniel, nasa legal na edad, isang pilipino, bilang umuupa. Kasunduan sa barangay format :

Ang kasunduang ito ay isinasagawa ng mga sumusunod: kasunduan format. Nakatala ito sa artikulo ng kasusunduan na dilagdaan noong disyembre 10,1898 pagbili sa.

Posting Komentar

Lebih baru Lebih lama

Facebook